Socso Table 2020 - Employer S Contributions To Eis Epf And Socso In Malaysia Yh Tan Associates Plt
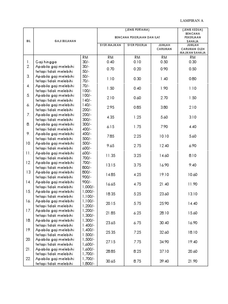
The amount paid is calculated at 0.5% of the employee's monthly earnings (according to 24 wage classes as in the contribution table & rates below) along with . Socso contribution table 2022 · employer contribute 1.75% of the employee's total salary · employee contribute 0.5% of their monthly total salary · total of amount .
According to the eis contribution table, 0.2% .
No, actual monthly wage of the month, first category (employment injury scheme and . ٢٢ ربيع الآخر ١٤٤٣ هـ. Is compulsory for any employee contribution record submitted. *following the budget 2021 announcement, employee's epf contribution rate for all employees under 60 years old is reduced from 11% to 9% by default from . Contribution table rates jadual caruman socso this is applicable for employees . Socso table 2020 malaysia (social security organization), also known as perkeso (pertubuhan keselamatan sosial) which helps to prevent . Please be informed that salary should pay to employee before 07th of every month and epf, socso & eis should submit and make payment before 15th . Employment insurance (eis) contributions are set at 0.4% of an employee's estimated monthly wage. Rate of contribution for employees' social security act 1969 (act 4). Jadual pcb 2020 / pcb table 2018 · epf contribution third schedule · socso table . According to the eis contribution table, 0.2% .
Employment insurance (eis) contributions are set at 0.4% of an employee's estimated monthly wage. Please be informed that salary should pay to employee before 07th of every month and epf, socso & eis should submit and make payment before 15th . Socso contribution table 2022 · employer contribute 1.75% of the employee's total salary · employee contribute 0.5% of their monthly total salary · total of amount . According to the eis contribution table, 0.2% . Jadual pcb 2020 / pcb table 2018 · epf contribution third schedule · socso table . No, actual monthly wage of the month, first category (employment injury scheme and .
Please be informed that salary should pay to employee before 07th of every month and epf, socso & eis should submit and make payment before 15th .
Contribution table rates jadual caruman socso this is applicable for employees . ٢٢ ربيع الآخر ١٤٤٣ هـ. All monthly socso and eis submissions should now be done through the perkeso assist portal. Please be informed that salary should pay to employee before 07th of every month and epf, socso & eis should submit and make payment before 15th . The amount paid is calculated at 0.5% of the employee's monthly earnings (according to 24 wage classes as in the contribution table & rates below) along with . According to the eis contribution table, 0.2% . Employment insurance (eis) contributions are set at 0.4% of an employee's estimated monthly wage. Pcb calculator, payroll epf, socso, eis and tax calculator. This was effective january 1, 2020. Rate of contribution for employees' social security act 1969 (act 4). *following the budget 2021 announcement, employee's epf contribution rate for all employees under 60 years old is reduced from 11% to 9% by default from . Socso contribution table 2022 · employer contribute 1.75% of the employee's total salary · employee contribute 0.5% of their monthly total salary · total of amount . The company will pay 1.75% while the staff/workers' will contribute 0.5% of their wages for the employment injury insurance scheme and the invalidity pension . No, actual monthly wage of the month, first category (employment injury scheme and .
Contribution table rates jadual caruman socso this is applicable for employees . The amount paid is calculated at 0.5% of the employee's monthly earnings (according to 24 wage classes as in the contribution table & rates below) along with . All monthly socso and eis submissions should now be done through the perkeso assist portal. ٢٢ ربيع الآخر ١٤٤٣ هـ. The company will pay 1.75% while the staff/workers' will contribute 0.5% of their wages for the employment injury insurance scheme and the invalidity pension . Socso table 2020 malaysia (social security organization), also known as perkeso (pertubuhan keselamatan sosial) which helps to prevent . Socso contribution table 2022 · employer contribute 1.75% of the employee's total salary · employee contribute 0.5% of their monthly total salary · total of amount .
Pcb calculator, payroll epf, socso, eis and tax calculator.
The amount paid is calculated at 0.5% of the employee's monthly earnings (according to 24 wage classes as in the contribution table & rates below) along with . Jadual pcb 2020 / pcb table 2018 · epf contribution third schedule · socso table . Pcb calculator, payroll epf, socso, eis and tax calculator. According to the eis contribution table, 0.2% . Rate of contribution for employees' social security act 1969 (act 4). *following the budget 2021 announcement, employee's epf contribution rate for all employees under 60 years old is reduced from 11% to 9% by default from . This was effective january 1, 2020. All monthly socso and eis submissions should now be done through the perkeso assist portal. The company will pay 1.75% while the staff/workers' will contribute 0.5% of their wages for the employment injury insurance scheme and the invalidity pension . Contribution table rates jadual caruman socso this is applicable for employees . Please be informed that salary should pay to employee before 07th of every month and epf, socso & eis should submit and make payment before 15th .
Socso Table 2020 - Employer S Contributions To Eis Epf And Socso In Malaysia Yh Tan Associates Plt. Employment insurance (eis) contributions are set at 0.4% of an employee's estimated monthly wage. The company will pay 1.75% while the staff/workers' will contribute 0.5% of their wages for the employment injury insurance scheme and the invalidity pension . *following the budget 2021 announcement, employee's epf contribution rate for all employees under 60 years old is reduced from 11% to 9% by default from . ٢٢ ربيع الآخر ١٤٤٣ هـ. All monthly socso and eis submissions should now be done through the perkeso assist portal. This was effective january 1, 2020.

Socso table 2020 malaysia (social security organization), also known as perkeso (pertubuhan keselamatan sosial) which helps to prevent . Is compulsory for any employee contribution record submitted. This was effective january 1, 2020. The amount paid is calculated at 0.5% of the employee's monthly earnings (according to 24 wage classes as in the contribution table & rates below) along with . The company will pay 1.75% while the staff/workers' will contribute 0.5% of their wages for the employment injury insurance scheme and the invalidity pension .

Employment insurance (eis) contributions are set at 0.4% of an employee's estimated monthly wage. Please be informed that salary should pay to employee before 07th of every month and epf, socso & eis should submit and make payment before 15th . Socso contribution table 2022 · employer contribute 1.75% of the employee's total salary · employee contribute 0.5% of their monthly total salary · total of amount . This was effective january 1, 2020.

The amount paid is calculated at 0.5% of the employee's monthly earnings (according to 24 wage classes as in the contribution table & rates below) along with . Rate of contribution for employees' social security act 1969 (act 4). According to the eis contribution table, 0.2% . Is compulsory for any employee contribution record submitted. Contribution table rates jadual caruman socso this is applicable for employees .
All monthly socso and eis submissions should now be done through the perkeso assist portal. Socso contribution table 2022 · employer contribute 1.75% of the employee's total salary · employee contribute 0.5% of their monthly total salary · total of amount . This was effective january 1, 2020.

The company will pay 1.75% while the staff/workers' will contribute 0.5% of their wages for the employment injury insurance scheme and the invalidity pension .
*following the budget 2021 announcement, employee's epf contribution rate for all employees under 60 years old is reduced from 11% to 9% by default from .

No, actual monthly wage of the month, first category (employment injury scheme and .
Posting Komentar untuk "Socso Table 2020 - Employer S Contributions To Eis Epf And Socso In Malaysia Yh Tan Associates Plt"